Občinski svet Občine Vojnik je na 9. seji 21. decembra 2023 sprejel proračuna za leti 2024 in 2025. Primerna poraba, ki je glavni vir financiranja občin, je izračunana iz povprečnine, ki znaša za obe leti 725 EUR.
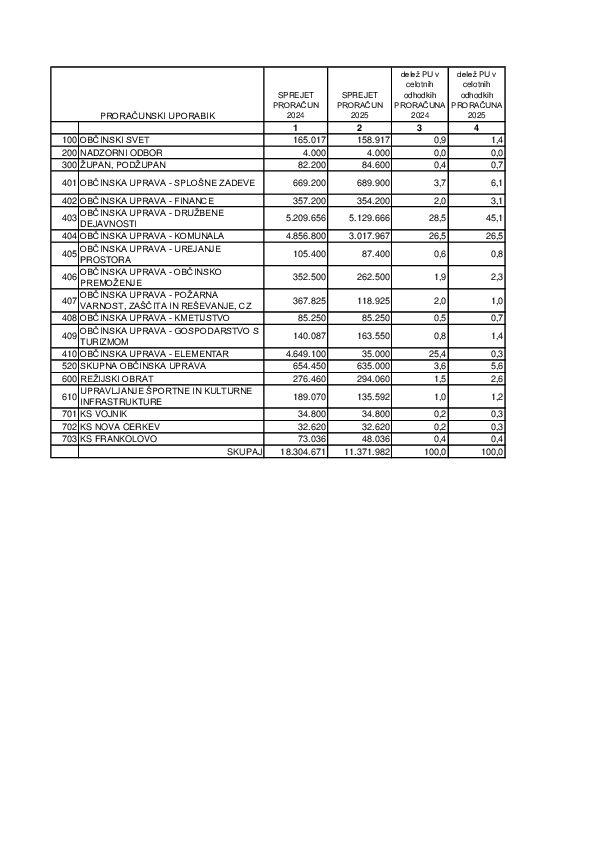
Tabela 1


Odhodki proračuna za leto 2024 so načrtovani v skupni višini 18.304.671 EUR.
Glavni investicijski odhodki in transferi, ki v celotnem proračunu predstavljajo 59 odstotkov, so v proračunu za leto 2024 namenjeni za:
- ureditev fasade in dela stavbnega pohištva na stavbi Krajevne skupnosti Frankolovo (25.000 EUR),
- projekta LAS-a: »gajbico ekološkega prosim« (9.837 EUR) in »ureditev tematskih poti in varstvo okolja« (30.000 EUR),
- investicijski transfer za nakup gasilske opreme v višini 27.500 EUR,
- investicijski transfer v višini 158.000 EUR za PGD Frankolovo za nakup avtocisterne,
- investicijski transfer v višini 86.000 EUR za PGD Nova Cerkev za nakup avtocisterne,
- sofinanciranje izgradnje pločnika s kolesarsko stezo Vojnik – Arclin (50.000 EUR); izvedba vezana na DRSI,
- sredstva za državno kolesarsko pot Celje – Vojnik – Dobrna (25.000 EUR),
- izgradnja pločnika Pristava – Razgor (60.000 EUR),
- načrti in študije na področju cest (30.000 EUR),
- izdelava celostne prometne strategije (40.000 EUR),
- asfaltiranje cest 100.000 EUR (45.000 EUR za KS Vojnik, 30.000 EUR za KS Nova Cerkev, 25.000 EUR za KS Frankolovo),
- rekonstrukcija Petelinškove ulice (40.000 EUR),
- rekonstrukcija JP Petelinjek – Razgor – Plate (50.000 EUR),
- rekonstrukcija LC Pristava – Razgor – Košenina (70.000 EUR),
- rekonstrukcija JP Cesta v Tomaž – Razgoršek (50.000 EUR),
- rekonstrukcija JP Socka – Velika Raven (138.000 EUR),
- rekonstrukcija JP Vizore – Landek (30.000 EUR),
- rekonstrukcija JP Nova Cerkev – Novake – Uršt (50.000 EUR),
- rekonstrukcija JP Lemberg – Vine (50.000 EUR),
- rekonstrukcija JP Homec (50.000 EUR),
- rekonstrukcija LC Frankolovo – Trnovlje (85.000 EUR),
- rekonstrukcija LC Ilovca – Rove – Črešnjice (95.000 EUR),
- dokumentacija za komunalno opremo OPPN Višnja vas (15.000 EUR),
- ureditev prehoda za pešce Ivenca (78.346 EUR),
- izgradnja javne razsvetljave (10.000 EUR),
- investicijsko vzdrževanje stare infrastrukture odlagališča za odpadke in nove infrastrukture RCERO iz sredstev amortizacije oz. najemnine podjetja Simbio, d. o. o., vključno s projektom za zbiranje odpadnega gospodinjskega olja (53.890 EUR),
- izgradnja sekundarne kanalizacije Frankolovo – odsek Stražica (50.000 EUR),
- zaključek izgradnje kanalizacije Ivenca (746.094 EUR),
- dokumentacija za izgradnjo kanalizacije v Višnji vasi (20.000 EUR),
- investicijsko vzdrževanje čistilnih naprav, kanalizacij in vodovodnih sistemov iz sredstev amortizacije oz. najemnine VO-KA, d. o. o. (965.000 EUR),
- zaključek izgradnje kanalizacije Nova Cerkev – odsek Polže (344.000 EUR),
- izgradnja vodovoda Lindek (607.970 EUR),
- dokumentacija za izgradnjo vodovoda Selce (20.000 EUR),
- izgradnja vodovoda Kladnart (40.000 EUR),
- izgradnja vodovoda Male Dole – Lipovšek (55.000 EUR),
- nakup zemljišča za izgradnjo vodarne Socka oz. Vitanje (10.000 EUR),
- izdelava občinskega prostorskega načrta z vključitvijo obvoznice v Vojniku (48.000 EUR),
- investicijsko vzdrževanje stanovanj in poslovnih prostorov (34.000 EUR) ter ureditev stanovanja na Celjski c. 14 (20.000 EUR),
- nakup stanovanja za potrebe v zdravstvu (100.000 EUR),
- nakupi zemljišč (90.000 EUR),
- sredstva za odmere in cenitve oz. urejanja lastništva zemljišč, predvsem cest (60.000 EUR),
- obnova objekta Zdravstvena postaja Vojnik in nakup opreme (100.000 EUR),
- sredstva za rekonstrukcijo stanovanjske hiše Borko (15.000 EUR – delež lastnih sredstev pri prijavi na razpis),
- obnova Kulturnega doma v Vojniku (64.000 EUR),
- izgradnja igrišča pri OŠ A. B. Frankolovo ob pridobitvi sredstev Ministrstva za izobraževanje, znanost in šport (400.000 EUR),
- obnova dela fasade na telovadnici v Vojniku (30.000 EUR),
- projekti za obnovo oz. energetsko sanacijo Sokolskega doma ter potrebno opremo (28.000 EUR),
- izgradnja športnega parka Arclin (240.000 EUR),
- dokumentacija za izgradnjo medgeneracijskega parka ob šoli v Socki (14.000 EUR),
- pridobitev dokumentacije za širitev prostorov OŠ Vojnik (350.000 EUR),
- ureditev odra v sklopu telovadnice na Frankolovem, v katero smo posegli z izgradnjo vrtca na Frankolovem (60.000 EUR),
- sredstva za investicijsko vzdrževanje šol (50.000 EUR) in vrtca (27.000 EUR),
- največji delež (4.614.100 eur) predstavljajo sanacije po neurju 2023, in sicer:
odprava posledic škode – neurje, poplave od 14. do 23. maja 2023 v višini 80.000 EUR,
odprava posledic škode – neurje, poplave od 12. do 13. julija 2023 v višini 40.000 EUR,
odprava posledic škode – neurje, poplave od 17. julija do 3. avgusta 2023 v višini 1.046.500 EUR,
odprava posledic škode – poplave 4. avgusta 2023 v višini 3.447.600 EUR.
Tabela 2


Glavni investicijski odhodki in transferi, ki v celotnem proračunu predstavljajo 33 odstotkov, so v proračunu za leto 2025 namenjeni za:
- investicijski transfer za nakup gasilske opreme v višini 27.500 EUR,
- sofinanciranje izgradnje pločnika s kolesarsko stezo Vojnik – Arclin (50.000 EUR); izvedba vezana na DRSI,
- sredstva za državno kolesarsko pot Celje – Vojnik – Dobrna (25.000 EUR),
- asfaltiranje cest 100.000 EUR (45.000 EUR za KS Vojnik, 30.000 EUR za KS Nova Cerkev, 25.000 EUR za KS Frankolovo),
- rekonstrukcija ceste na Gmajno (200.000 EUR),
- izgradnja pločnika Vojnik – Gmajna (55.000 EUR),
- rekonstrukcija LC Pristava – Razgor – Košenina (25.000 EUR),
- rekonstrukcija JP Socka – Velika Raven (30.000 EUR),
- rekonstrukcija JP Nova Cerkev – Novake – Kugler (60.000 EUR),
- rekonstrukcija JP Lemberg – Vine (40.000 EUR),
- rekonstrukcija JP Straža – Krnjavšek (20.000 EUR),
- rekonstrukcija ceste Rakova Steza – Stražica (80.000 EUR),
- rekonstrukcija LC Ilovca – Rove – Črešnjice (45.000 EUR),
- dokumentacija za komunalno opremo OPPN Višnja vas (15.000 EUR),
- izgradnja javne razsvetljave (10.000 EUR),
- investicijsko vzdrževanje stare infrastrukture odlagališča za odpadke in nove infrastrukture RCERO iz sredstev amortizacije oz. najemnine podjetja Simbio, d. o. o. (39.546 EUR),
- začetek izgradnje kanalizacije v Višnji vasi (168.000 EUR),
- investicijsko vzdrževanje čistilnih naprav, kanalizacij in vodovodnih sistemov iz sredstev amortizacije oz. najemnine VO-KA, d. o. o. (615.000 EUR),
- izgradnje kanalizacije Pot v Lešje – območje Gmajna (338.421 EUR),
- zaključek izgradnje vodovoda Lindek (135.500 EUR),
- začetek izgradnje vodovoda Selce (112.000 EUR),
- dokumentacija za izgradnjo vodarne Socka oz. Vitanje (6.000 EUR),
- izdelava občinskega prostorskega načrta z vključitvijo obvoznice v Vojniku (35.000 EUR),
- investicijsko vzdrževanje stanovanj in poslovnih prostorov (34.000 EUR) in ureditev stanovanja na Celjski c. 14 (20.000 EUR),
- nakupi zemljišč (100.000 EUR),
- sredstva za odmere in cenitve oz. urejanja lastništva zemljišč, predvsem cest (60.000 EUR),
- obnova objekta Zdravstvena postaja Vojnik in nakup opreme (629.040 EUR),
- sredstva za rekonstrukcijo stanovanjske hiše Borko (15.000 EUR – delež lastnih sredstev pri prijavi na razpis),
- obnova Kulturnega doma v Vojniku (16.000 EUR),
- izgradnja igrišča pri OŠ A. B. Frankolovo ob pridobitvi sredstev Ministrstva za izobraževanje, znanost in šport (400.000 EUR) in
- sredstva za investicijsko vzdrževanje šol (50.000 EUR) in vrtca (22.000 EUR).
Izdatek proračuna predstavljajo tudi odplačila dolgoročno najetih kreditov, vsako leto v višini 363.000 EUR.
Irena Špegel Jovan, podsekretarka za finance in proračun





